近日,认知心理学领域期刊Cognitive Research: Principles and Implication发表了tcy8722太阳集团姚方姝课题组题为Temporal context modulates the recovery of the attentional blink的研究论文。该研究首次揭示了更高的时间不确定性并非加剧认知负荷,而是促使大脑采用更灵活的策略,从而加速注意瞬脱的恢复进程。
在日常驾驶或不断刷新的社交媒体信息流中,接连发生的重要事件往往间隔随机、不可预测。这种高时间不确定性环境,如何影响我们处理连续信息的能力?解答这一问题,对理解人类注意力的动态调控机制,以及优化复杂人机交互设计都具有重要价值。注意瞬脱效应——指当两个目标在快速视觉流中先后出现时,若间隔仅200-500毫秒,人们常会“视而不见”第二个目标——是探究这一问题的理想平台。
过往研究多强调可预测的时间线索能缓解注意瞬脱,但对不可预测的时间背景如何施加影响,则缺乏深入探讨。本研究通过创新性地操纵试次间目标间隔(即滞后,Lag)的变化模式,系统构建了两种时间背景(图1):变化平缓、富有连续感的“随机游走”背景,以及变化剧烈、不可预测的“完全随机”背景,以此考察它们对注意瞬脱效应的具体影响。

图1. “随机游走”与“完全随机”两种时间背景的构建逻辑,展示了试次间间隔变化方式的不同。
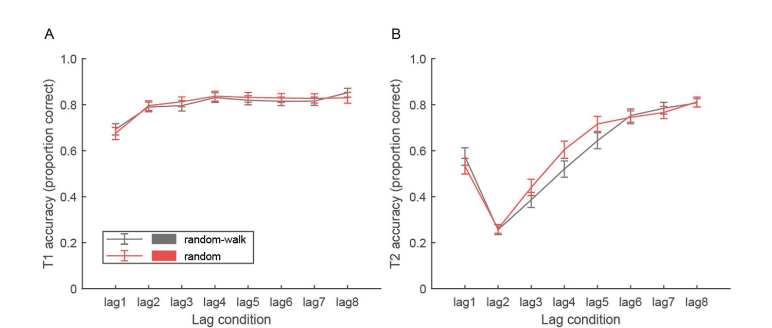
本研究同时收集并深入分析了参与者在两种背景下的行为数据,采用注意瞬脱曲线拟合和关键参数对比的方法,从多个角度汇聚地揭示时间背景调控注意瞬脱的具体机制。研究的行为结果显示,时间背景的调控效应并非体现在注意瞬脱的“严重程度”(即最低正确率)上,而是精确地聚焦于其恢复过程。与“随机游走”背景相比,处于高不确定性“完全随机”背景下的参与者,其注意瞬脱的恢复被显著加速,具体表现为:注意瞬脱的时间窗口显著变窄,恢复斜率更陡峭,且恢复阶段的正确率抬升幅度更大(图2)。

图2. 两种时间背景下T2正确率随间隔恢复的曲线,显示“完全随机”背景下的恢复更快。
更关键的是,当研究者在对照实验中将“完全随机”背景的间隔变化范围缩小,降低了其不确定性后,这种恢复加速效应随即消失。这表明,驱动注意力策略转换的关键因素正是时间不确定性本身。
该研究揭示了一个看似反直觉的认知适应机制:面对高时间不确定的环境,大脑并未消极地受困于注意力极限,而是策略性地切换至一种更灵活、更全局化的时间注意分配模式,从而更快地从“瞬盲”中恢复,以应对不可预测的变化。这一发现不仅为理解人脑在动态情境下的认知灵活性提供了新视角,也为设计驾驶辅助、在线通信等复杂人机交互界面带来启示:适当引入可控但可变的时间结构,或许能帮助用户更从容地应对并发信息。
该研究获得国家自然科学基金项目(32071053,32200859)的支持。姚方姝老师为论文第一作者,中科院心理所副研究员周斌为通讯作者。
论文信息:Yao, F., & Zhou, B. (2025). Temporal context modulates the recovery of the attentional blink. Cognitive Research: Principles and Implications, 10, 14. https://doi.org/10.1186/s41235-025-00635-w