成果简介
精神医学领域知名学术期刊BMC Psychiatry(JCR Q1,中科院2区)2025年3月发表了tcy8722太阳集团杜小霞教授课题组与上海交通大学医学院附属第九人民医院刘建仁教授课题组合作完成的题为《Cerebellarmicrostructural abnormalities in patients with somatic symptom disorders》的研究论文。该研究首次采用自由水消除扩散张量成像(FWE-DTI)和神经突方向离散度和密度成像(NODDI)的多室扩散模型,系统揭示了躯体症状障碍(Somatic Symptom Disorder, SSD)患者小脑白质纤维束及灰质亚区的微结构异常及其与临床症状的关联,为理解SSD的神经病理机制提供了新的视角。
研究内容
SSD是2013年出版的《精神障碍诊断与统计手册》第五版(DSM-5)中引入的一种诊断,它包含了躯体化障碍、未分化的躯体形式障碍、疑病症和持续性疼痛感障碍,引入了关于严重程度、疼痛和持续性的SSD规范。SSD的特征是至少有一个持续性的身体症状以及在情感、认知或行为水平上相关的心理损伤。使用自我报告问卷进行的普通人群研究发现,SSD的平均发生率为 12.9%。SSD严重影响患者的生活质量,其病理机制仍未完全明了。
近年来,神经影像学研究揭示了SSD患者在脑结构和功能上的异常,涉及认知控制、情绪调节、应激以及躯体-内脏感知网络。其中,小脑作为传统上与运动协调和平衡相关的脑区,其在高阶认知、情绪和自主神经功能中的作用日益受到关注,并在多种精神疾病中显示出异常。然而,采用高分辨率扩散磁共振成像技术探究SSD患者小脑亚区微结构变化的研究尚未充分开展。
针对这一研究空白,本研究采用横断面病例对照设计,纳入30名符合DSM-5诊断标准的SSD患者和30名年龄、性别匹配的健康对照。影像分析基于约翰霍普金斯大学白质结构图谱和SUIT小脑灰质模板,分别从白质和灰质角度系统评估小脑微结构改变。研究主要发现如下:
(1)白质纤维束微结构改变:与健康对照相比,SSD患者在双侧小脑上脚(SCP)、中脚(MCP)和下脚(ICP)的白质纤维束中表现出显著增加的FAt(自由水消除后的各向异性分数)和NDI(神经突密度指数),同时显著降低的MDt(自由水消除后的平均弥散率)和RDt(自由水消除后的径向弥散率)(图1)。这些变化提示SSD患者小脑白质存在更高的神经突密度和更强的扩散限制。

图1躯体症状障碍中小脑白质的FWE-DTI与NODDI指标变化
(注:FWE-DTI,自由水消除扩散张量成像;NODDI,神经突方向分散与密度成像;SCP,小脑上支;MCP,小脑中支;ICP,小脑下脚;FAt,自由水消除分数各向异性;NDI,神经突密度指数;*,表示以p< 0.05为阈值,组间比较在统计学上具有显著差异。)
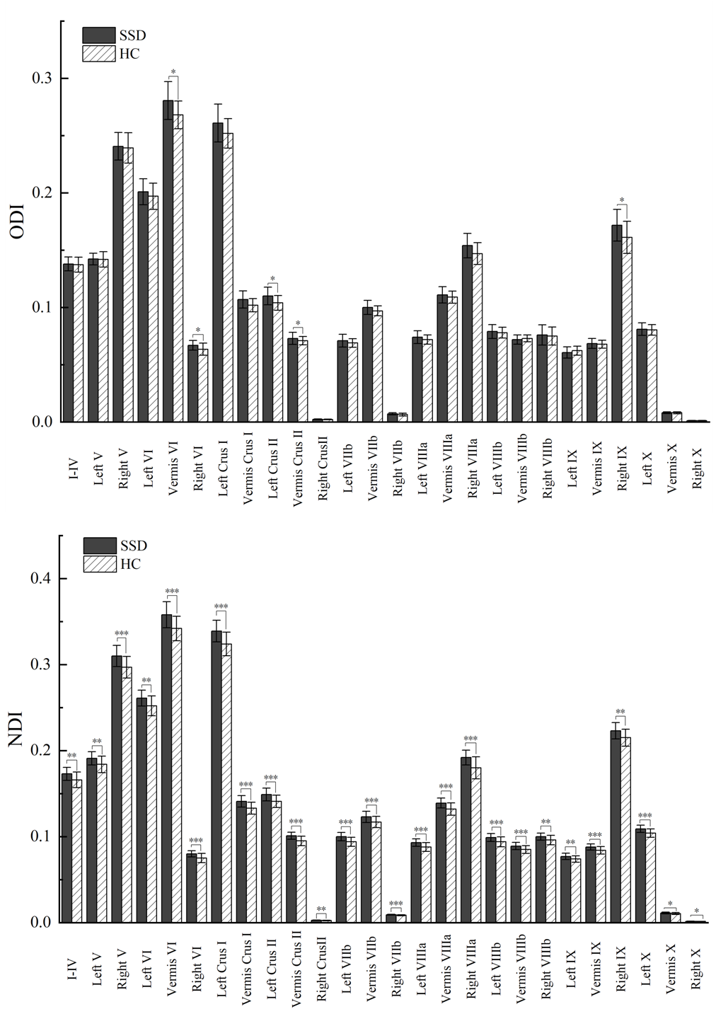
(2)灰质亚区广泛改变:基于SUIT模板对小脑26个灰质亚区的分析显示,SSD患者在多个亚区(包括左侧小叶V、VI、Crus I、Crus II、VIIb、VIIIa、IX,蚓部VI、Crus I、Crus II、VIIb、VIIIa、VIIIb、IX等)表现出广泛的MDt、ADt(轴向弥散率)和RDt降低,以及NDI和ODI(取向分散指数)显著增加(图2),表明白质和灰质中存在一致的微结构改变模式。
(3)临床相关性:研究识别出小脑特定亚区微结构变化与临床症状之间的显著相关性。其中,左侧小叶VIIb的FAt与GAD-7焦虑评分呈显著负相关,其FW(自由水分数)与HAMA焦虑评分、HAMD抑郁评分及MMSE认知评分呈显著正相关;蚓部X的FAt与PHQ-9抑郁评分、GAD-7焦虑评分、HAMA焦虑评分及HAMD抑郁评分均呈显著负相关。这些结果表明,小脑左侧VIIb和蚓部X的微结构异常与SSD患者的情绪调节和认知加工障碍密切相关。

图2躯体症状障碍患者与健康对照组小脑灰质亚区NODDI指标变化
(注:NODDI:神经突方向分散与密度成像;ODI:方向分散指数;NDI:神经突密度指数;*,表示以p< 0.05为阈值,组间比较在统计学上具有显著差异。)
总结
本研究首次系统描述了SSD患者小脑白质与灰质亚区的弥散微结构异常特征。研究发现SSD患者小脑表现为更高的神经突密度和增强的扩散限制,这一模式可能反映了与慢性应激相关的适应性神经可塑性改变,而非单纯的神经损伤。
鉴于小脑与应激相关脑区存在广泛连接,并在情绪和认知调控中发挥关键作用,这些微结构改变可能源于SSD患者长期心理应激伴随的小脑结构适应性变化。该研究强调了小脑作为SSD病理生理学中潜在治疗靶点的重要性,为通过调控神经可塑性来缓解相关精神症状提供了新的理论依据。
本研究得到教育部人文社会科学项目(23A10277004)、上海市教育委员会-高峰临床医学资助(20161422)以及上海市科学技术委员会自然科学基金项目(22ZR1436900)的资助。
论文信息
Tang W, Zhang C, Qi Y, Zhou Q, Li H, Shen XH, Liu L, Wang W, Liu JR, Du X. Cerebellar microstructural abnormalities in patients with somatic symptom disorders.BMC Psychiatry. 2025;25:199.https://doi.org/10.1186/s12888-025-06642-5